728x90

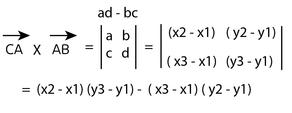
CCW(Counter Clock Wise) 알고리즘은 3개의 점을 이은 직선의 방향을 알 수 있는 알고리즘이다.
경우의 수는 총 3가지이며 양수, 0, 음수 값으로 방향을 알 수 있다.
특히 외적을 통하여 구하는 것이 특징인데, 외적 구하는 방법에 대해 확인해보자.





static int CCW(long x1, long y1, long x2, long y2, long x3, long y3){
long dir = (x1 - x2) * (y2 - y3) - (x2 - x3) * (y1 - y2);
return dir == 0 ? 0 : ( dir > 0 ? 1 : -1 );
}728x90
'algorithm > algorithm' 카테고리의 다른 글
| [Algorithm] union-find (0) | 2023.02.10 |
|---|---|
| [Algorithm] 에라토스테네스의 체 (0) | 2023.02.09 |
| [Algorithm] greedy (0) | 2023.02.09 |
| [Algorithm] binary search (0) | 2023.02.09 |
| [Algorithm] DFS & BFS (0) | 2023.02.08 |